Given a binary tree, determine if it is height-balanced.
For this problem, a height-balanced binary tree is defined as:
a binary tree in which the left and right subtrees of every node differ in height by no more than 1.
Example 1:

Input: root = [3,9,20,null,null,15,7] Output: true
Example 2:

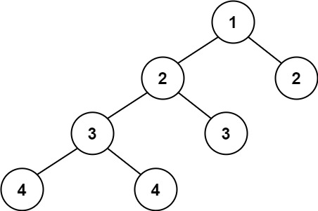
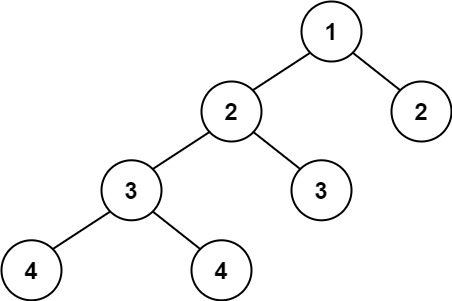
Input: root = [1,2,2,3,3,null,null,4,4] Output: false
Example 3:
Input: root = [] Output: true
Constraints:
- The number of nodes in the tree is in the range [0, 5000].
- -104 <= Node.val <= 104
문제 풀이:
모든 서브트리에 대해 balanced tree임을 확인해야 한다.
/**
* Definition for a binary tree node.
* struct TreeNode {
* int val;
* TreeNode *left;
* TreeNode *right;
* TreeNode() : val(0), left(nullptr), right(nullptr) {}
* TreeNode(int x) : val(x), left(nullptr), right(nullptr) {}
* TreeNode(int x, TreeNode *left, TreeNode *right) : val(x), left(left), right(right) {}
* };
*/
class Solution {
public:
int getHeight(TreeNode* cur){
if(!cur) return 0;
return max(getHeight(cur->left), getHeight(cur->right)) + 1;
}
bool isBalanced(TreeNode* root) {
if(!root) return true;
int left = getHeight(root->left);
int right = getHeight(root->right);
if( abs(left - right) > 1) return false;
return isBalanced(root->left) && isBalanced(root->right);
}
};'알고리즘 문제풀이 > leetcode' 카테고리의 다른 글
| [leetcode 141] Linked List Cycle (0) | 2020.11.22 |
|---|---|
| [leetcode 111] Minimum Depth of Binary Tree (0) | 2020.11.21 |
| [leetcode 107] Binary Tree Level Order Traversal II (0) | 2020.11.21 |
| [leetcode 108] Convert Sorted Array to Binary Search Tree (0) | 2020.11.20 |
| [leetcode 122] Best Time to Buy and Sell Stock II (0) | 2020.11.20 |
댓글