Given head, the head of a linked list, determine if the linked list has a cycle in it.
There is a cycle in a linked list if there is some node in the list that can be reached again by continuously following the next pointer. Internally, pos is used to denote the index of the node that tail's next pointer is connected to. Note that pos is not passed as a parameter.
Return true if there is a cycle in the linked list. Otherwise, return false.
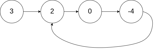
Example 1:

Input: head = [3,2,0,-4], pos = 1 Output: true Explanation: There is a cycle in the linked list, where the tail connects to the 1st node (0-indexed).
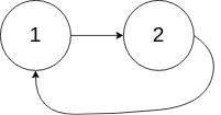
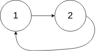
Example 2:

Input: head = [1,2], pos = 0 Output: true Explanation: There is a cycle in the linked list, where the tail connects to the 0th node.
Example 3:

Input: head = [1], pos = -1 Output: false Explanation: There is no cycle in the linked list.
Constraints:
- The number of the nodes in the list is in the range [0, 104].
- -105 <= Node.val <= 105
- pos is -1 or a valid index in the linked-list.
문제 풀이:
난이도 쉬움
플로이드의 토끼와 거북이 알고리즘 사용
/**
* Definition for singly-linked list.
* struct ListNode {
* int val;
* ListNode *next;
* ListNode(int x) : val(x), next(NULL) {}
* };
*/
class Solution {
public:
bool hasCycle(ListNode *head) {
ListNode* fast = head;
ListNode* slow = head;
while(fast!=nullptr && fast->next != nullptr){
fast = fast -> next->next;
slow = slow ->next;
if(fast == slow){
return true;
}
}
return false;
}
};'알고리즘 문제풀이 > leetcode' 카테고리의 다른 글
| [leetcode 172] Factorial Trailing Zeroes (0) | 2020.11.22 |
|---|---|
| [leetcode 171] Excel Sheet Column Number (0) | 2020.11.22 |
| [leetcode 111] Minimum Depth of Binary Tree (0) | 2020.11.21 |
| [leetcode 110] Balanced Binary Tree (0) | 2020.11.21 |
| [leetcode 107] Binary Tree Level Order Traversal II (0) | 2020.11.21 |
댓글