Given a binary tree, find its minimum depth.
The minimum depth is the number of nodes along the shortest path from the root node down to the nearest leaf node.
Note: A leaf is a node with no children.
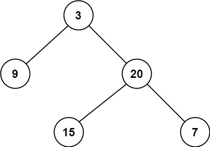
Example 1:

Input: root = [3,9,20,null,null,15,7] Output: 2
Example 2:
Input: root = [2,null,3,null,4,null,5,null,6] Output: 5
Constraints:
- The number of nodes in the tree is in the range [0, 105].
- -1000 <= Node.val <= 1000
문제 풀이:
트리 레벨 순회
/**
* Definition for a binary tree node.
* struct TreeNode {
* int val;
* TreeNode *left;
* TreeNode *right;
* TreeNode() : val(0), left(nullptr), right(nullptr) {}
* TreeNode(int x) : val(x), left(nullptr), right(nullptr) {}
* TreeNode(int x, TreeNode *left, TreeNode *right) : val(x), left(left), right(right) {}
* };
*/
class Solution {
public:
int minDepth(TreeNode* root) {
if(!root) return 0;
queue<TreeNode*> q;
q.push(root);
int minD = 0;
while(!q.empty()){
int size = q.size();
minD++;
for(int i=0; i<size; i++){
TreeNode* cur = q.front();
q.pop();
if(cur->left){
q.push(cur->left);
}
if(cur->right){
q.push(cur->right);
}
if(!cur->left && !cur->right){
return minD;
}
}
}
return 0;
}
};'알고리즘 문제풀이 > leetcode' 카테고리의 다른 글
| [leetcode 171] Excel Sheet Column Number (0) | 2020.11.22 |
|---|---|
| [leetcode 141] Linked List Cycle (0) | 2020.11.22 |
| [leetcode 110] Balanced Binary Tree (0) | 2020.11.21 |
| [leetcode 107] Binary Tree Level Order Traversal II (0) | 2020.11.21 |
| [leetcode 108] Convert Sorted Array to Binary Search Tree (0) | 2020.11.20 |
댓글