Given the head of a linked list, remove the nth node from the end of the list and return its head.
Follow up: Could you do this in one pass?
끝에서 n번째 노드를 제거하는 문제
Example 1:

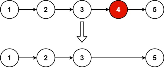
Input: head = [1,2,3,4,5], n = 2 Output: [1,2,3,5]
Example 2:
Input: head = [1], n = 1 Output: []
Example 3:
Input: head = [1,2], n = 1 Output: [1]
풀이:
- 투포인터를 사용하면 한 번에 가능하다는데 귀찮아서 안해봤다. 나중에 해봐야지
- linked list를 이용한 더미 포인터를 만들어서 return
- 포인터 공부 열심히 하기
/**
* Definition for singly-linked list.
* struct ListNode {
* int val;
* ListNode *next;
* ListNode() : val(0), next(nullptr) {}
* ListNode(int x) : val(x), next(nullptr) {}
* ListNode(int x, ListNode *next) : val(x), next(next) {}
* };
*/
class Solution {
public:
ListNode* removeNthFromEnd(ListNode* head, int n) {
ListNode *result = new ListNode(0);
result -> next = head;
int len = 0;
ListNode* tmp = head;
while(tmp != nullptr){
tmp = tmp->next;
len++;
}
len -= n;
ListNode* cur = result;
while(len >0){
len--;
cur = cur->next;
}
cur->next = cur->next->next;
return result->next;
}
};'알고리즘 문제풀이 > leetcode' 카테고리의 다른 글
| [leetcode 22] Generate Parentheses (0) | 2020.10.15 |
|---|---|
| [leetcode 20] Valid Parentheses (0) | 2020.10.15 |
| [leetcode 17] Letter Combinations of a Phone Number (0) | 2020.10.14 |
| [leetcode 15] 3Sum (0) | 2020.10.14 |
| [leetcode 11] Container With Most Water (0) | 2020.10.14 |
댓글