- 두 노드가 부모가 다르고 같은 depth를 가진 cousin인지 확인하기
In a binary tree, the root node is at depth 0, and children of each depth k node are at depth k+1.
Two nodes of a binary tree are cousins if they have the same depth, but have different parents.
We are given the root of a binary tree with unique values, and the values x and y of two different nodes in the tree.
Return true if and only if the nodes corresponding to the values x and y are cousins.
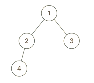
Example 1:

Input: root = [1,2,3,4], x = 4, y = 3 Output: false
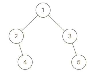
Example 2:

Input: root = [1,2,3,null,4,null,5], x = 5, y = 4 Output: true
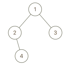
Example 3:

Input: root = [1,2,3,null,4], x = 2, y = 3 Output: false
- 일반적인 트리 순회이다.
- 트리 순회를 하면서 부모 노드와 depth를 저장하는 것이 핵심
/**
* Definition for a binary tree node.
* struct TreeNode {
* int val;
* TreeNode *left;
* TreeNode *right;
* TreeNode() : val(0), left(nullptr), right(nullptr) {}
* TreeNode(int x) : val(x), left(nullptr), right(nullptr) {}
* TreeNode(int x, TreeNode *left, TreeNode *right) : val(x), left(left), right(right) {}
* };
*/
using namespace std;
class Solution {
public:
TreeNode* getParentAndDepth(TreeNode* root, int x, int& res){
queue <tuple<TreeNode*, TreeNode*, int>> q;
q.push(make_tuple(nullptr, root, 0));
while(!q.empty()){
TreeNode* par = get<0>(q.front());
TreeNode* cur = get<1>(q.front());
int curDepth = get<2>(q.front());
q.pop();
if(cur != nullptr){
if(cur->val == x){
res = curDepth;
return par;
}
if(cur->left != nullptr || cur->right != nullptr){
q.push(make_tuple(cur, cur->left, curDepth+1));
q.push(make_tuple(cur, cur->right, curDepth+1));
}
}
}
res = -1;
return nullptr;
}
bool isCousins(TreeNode* root, int x, int y) {
TreeNode *parX;
TreeNode *parY;
int depX=0, depY=0;
parX = getParentAndDepth(root, x, depX);
parY = getParentAndDepth(root, y,depY);
if(depX == depY && parX!=parY){
return true;
}else {
return false;
}
}
};
'알고리즘 문제풀이 > leetcode' 카테고리의 다른 글
| [leetcode 94] Binary Tree Inorder Traversal (0) | 2020.10.04 |
|---|---|
| [leetcode 102] Binary Tree Level Order Traversal (0) | 2020.10.03 |
| [leetcode 1022] Sum of Root To Leaf Binary Numbers (0) | 2020.10.03 |
| [leetcode 560] Subarray Sum Equals K (0) | 2020.10.01 |
| [leetcode 1234]Replace the Substring for Balanced String (0) | 2020.10.01 |
댓글